C’est une excellente nouvelle pour les abonnés du fournisseur d’accès à Internet Free. Comme l’ont pu déjà constaté hier certains abonnés, la qualité de service a été nettement améliorée avec une réduction importante des erreurs sur les lignes. Ce matin, la maison mère Iliad a officialisé la mise à jour technique sur ses services, en annonçant l’intégration dans ses équipements ADSL d’une solution logicielle innovante, DslSafe, en partenariat avec Broadcom Corporation.
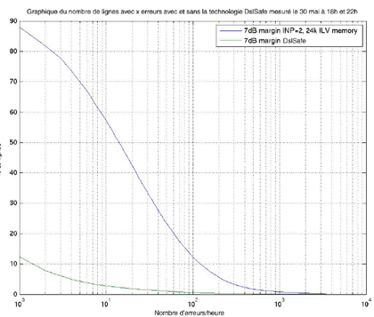
« DslSafe [permet] de corriger quasi intégralement les erreurs de transmission liées aux perturbations des lignes ADSL et d’améliorer ainsi considérablement la qualité de l’ensemble des services diffusés sur Freebox : meilleur débit, qualité de la voix IP accrue et meilleure qualité d’image sur Freebox TV « , indique Free dans son communiqué. La technologie Phy-R employée permet de diviser le taux d’erreurs par 10, selon les tests du FAI. Le graphique ci-dessous est suffisamment explicite sur les gains ressentis, d’autant que la mise à jour n’affecte pas le ping si précieux aux joueurs.

Free, qui avait déjà étendu son service Freebox TV à davantage d’abonnés en passant à un format de compression MPEG-4 pour la TNT, annonce que ce nouveau protocole permet également d’étendre l’offre Freebox TV à des abonnés qui étaient jusqu’à présent inéligibles en raison des erreurs présentes sur les lignes.
Enfin, avantage stratégique considérable sur ses concurrents, Free est le seul fournisseur d’accès dont le parc est intégralement équipé en solutions Broadcom, à la fois sur les DSLAMs et dans les Freebox. Il se dit donc « le seul opérateur à pouvoir proposer cette solution logicielle à l’ensemble de ses abonnés dégroupés ».
+ rapide, + pratique, + exclusif
Zéro publicité, fonctions avancées de lecture, articles résumés par l'I.A, contenus exclusifs et plus encore.
Découvrez les nombreux avantages de Numerama+.
Vous avez lu 0 articles sur Numerama ce mois-ci
Tout le monde n'a pas les moyens de payer pour l'information.
C'est pourquoi nous maintenons notre journalisme ouvert à tous.
Mais si vous le pouvez,
voici trois bonnes raisons de soutenir notre travail :
- 1 Numerama+ contribue à offrir une expérience gratuite à tous les lecteurs de Numerama.
- 2 Vous profiterez d'une lecture sans publicité, de nombreuses fonctions avancées de lecture et des contenus exclusifs.
- 3 Aider Numerama dans sa mission : comprendre le présent pour anticiper l'avenir.
Si vous croyez en un web gratuit et à une information de qualité accessible au plus grand nombre, rejoignez Numerama+.
Toute l'actu tech en un clin d'œil
Ajoutez Numerama à votre écran d'accueil et restez connectés au futur !
Tous nos articles sont aussi sur notre profil Google : suivez-nous pour ne rien manquer !











